Common Math Mistake 5

Distributive Property of multiplication over addition

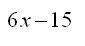
Let me consider a very common mistake committed by many students. Simplify the following:

Many students usually simplify this as

Do not forget to apply the distributive property ie. 3 will get multiplied with both 2x and 5. So, the correct answer is:

Hope you will not be one of them …

Comments

Popular posts from this blog

PROJECT WORK TOPICS FOR CLASS IX AND X

Math Assignments For You

Making Mathematics Simpler! NCERT class XII Solutions